新闻中心
不同研磨介质研磨硫磺粉的静电作用对比
作者:admin日期:2020-06-18阅读 
        
	采用高频振动球磨仪研磨硫磺,对研磨过程中硫磺粉的起电特性进行测试和分析。结果表明:控制研磨转速分别为1200、1500、1800r/min时,薄片状硫磺带静电量到达饱和值的时间为40、60、100s,荷质比速率为0.269、0.470、0.700nC/(g·s),粉状硫磺所带静电量到达饱和值的时间分别为30、40、70s,荷质比速率为0.416、0.701、0.979nC/(g·s);采用碳化钨材质的研磨体,研磨后的硫磺粉所带静电量小,不锈钢研磨材质的是碳化钨的1.39倍,氧化锆研磨材质的是碳化钨的3.82倍;硫磺粉的湿基含水量能够有效减小研磨过程中硫磺粉所带的静电量,当湿基含水量为0.8%时,研磨硫磺粉的饱和静电量几乎减小为0。
	
	
		本文中采用
	
		MM440型Restch高频振动球磨仪实验设备,从研磨强度、研磨时间、研磨材质以及硫磺湿基含水量等方面,定量分析了硫磺研磨破碎过程中的起电特性,对指导干式粉碎硫磺的生产,特别是对生产设备和工艺条件的选择具有重要意义。
	
		1实验
	
		1.1原料与设备
	
		原料:粉状硫磺(d90=72.17μm,d50=24.50μm)、片状硫磺(直径约为5mm,厚度约为3mm),江油市川西北聚优化工有限责任公司生产,如图1所示,主要成份见表1。

	设备:MM440型Restch球磨仪,配备50mL不锈钢、碳化钨、氧化锆研磨罐和Φ20mm不锈钢、碳化钨、氧化锆珠,德国Retsch公司生产;LS13320型激光粒度仪(干法),美国BeckmanCoulter有限公司生产;JCI-178型数字电荷仪,量程:0~200nC,配法JCI-150型法拉筒,英国Chilworth有限公司生产;GZX-9070MBE型电热鼓风干燥箱,上海博迅实业有限公司设备厂生产;WQG-11型干湿球温湿度测量仪,常州市瑞明仪表公司生产;电子天平,秒表等。
	1.2方法
	球磨仪是采用研磨罐在水平方向上进行圆弧式径向振动,振幅20mm,在高频振动的作用下,罐内研磨球由于其惯性作用对位于光滑的研磨罐内的样品进行高强度的研磨而使颗粒破碎的装置。硫磺粉在研磨过程中与研磨球发生接触、碰撞、摩擦,进而会带上静电。研磨过程中,研磨强度、研磨时间、研磨材质、原料粒径以及湿基含水量等都会对硫磺粉静电量产生很大的影响。
	实验采用片状硫磺和粉状硫磺,研究了硫磺研磨起电特性。包括:
1)不同研磨转速和时间下硫磺带电量的变化。控制研磨转速为1200、1500、1800r/min,研磨时间为10、20、30、40、60、80、100、120s,选用不锈钢研磨体,测试研磨硫磺的带电量的变化。
1)不同研磨转速和时间下硫磺带电量的变化。控制研磨转速为1200、1500、1800r/min,研磨时间为10、20、30、40、60、80、100、120s,选用不锈钢研磨体,测试研磨硫磺的带电量的变化。
	2)不同研磨材对硫磺带电量的影响。控制研磨转速为1500r/min,研磨时间为100s,分别选用不锈钢、碳化钨、氧化锆材质的研磨罐,测试研磨过程中硫磺的静电量。
3)不同湿基含水量对硫磺带电量的影响。控制研磨转速为1500r/min,研磨时间为100s,选用不锈钢研磨体,分别测试湿基含水量(质量分数,下同)为0.2%、0.4%、0.6%、0.8%、1.0%、1.2%的硫磺粉的饱和静电量。
3)不同湿基含水量对硫磺带电量的影响。控制研磨转速为1500r/min,研磨时间为100s,选用不锈钢研磨体,分别测试湿基含水量(质量分数,下同)为0.2%、0.4%、0.6%、0.8%、1.0%、1.2%的硫磺粉的饱和静电量。
	为保证实验的准确性,整个实验过程采用绝缘处理。每组实验重复3次,实验结果取平均值。为了进行对比,本文中定义荷质比(nC·g-1)=电量(nC)/测试质量(g),湿基含水量=物料中所含水的质量/(物料中所含水的质量+物料中所含干物质的质量)×。实验条件为温度为25℃,空气相对湿度为70%~72%。
	
		2结果与讨论
	
		2.1研磨转速和时间对硫磺荷质比的影响采用不锈钢研磨罐分别研磨薄片状硫磺和粒径为74μm的粉状硫磺,研磨转速为1200、1500、1800r/min,分别测试研磨0、10、20、30、40、60、80、100、120s时硫磺的荷质比,结果如图2、3所示。图2、3表明,对于不同粒径的硫磺粉,研磨初
	
		期,硫磺粉的荷质比迅速,随着研磨时间的增加,硫磺粉荷质比的速率逐渐减小,终趋于稳定,静电量达到饱和。片状硫磺在研磨100s之后都能达到饱和,饱和静电量在-24~-34nC/g之间,粉状


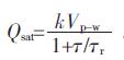
	硫磺在研磨60s之后均达到饱和,饱和静电量在-36~-40nC/g之间。这是由于在静电产生过程中,单位质量的颗粒获得的电量[9-11]:
	
	

		式中:t为颗粒与金属壁面的接触时间;τ为静电产生时间常数;k为比例常数;τr为静电释放时间常数;Vparticle-wall为颗粒与金属壁面之间的电势差(CPD)。1/τr(kVp-w-Q)表示颗粒在摩擦碰撞过程中产生的静电量,Qτr表示在静电产生过程中同时存在的逸散量,当dQ/dt=0时,表示静电量处于稳定状态,不再发生变化,此时认为静电量达到饱和,即
		
		

			上式表明,随着研磨时间的增加,两种相互接触的材质静电量终会达到稳定,趋于饱和状态,这也能很好地解释硫磺粉的饱和静电量。图4—6是不同研磨转速下硫磺的饱和静电量、到达饱和静电量的时间和静电量达到饱和值之前荷质比的速率。从图中可以看出,随着研磨转速的,硫磺静电量达到饱和值的时间减少,荷质比速率加快。这不难理解,随着研磨转速的,硫磺与研磨材质之间的接触次数和碰撞强度均会增加,高强度的碰撞能够使硫磺颗粒获得更大的动量,更容易出电子,因此达到饱和静电量的时间就会迅速减少。
		
			图4—6还表明,在相同研磨转速下,颗粒越细的硫磺,饱和静电量越大,静电量到达饱和值的时间越短,荷质比速率越快。这是由于颗粒越小,比表面积越大,研磨过程中颗粒与研磨罐的接触面积越大,从而使得静电积聚更快,并且颗粒的带电能力越强;与粉状硫磺相比,片状硫磺在研磨过程中发生更多次的破碎,不断产生表面,使得静电达到饱和的时间越长。
	


	2.2接触材质对硫磺粉饱和静电量的影响实际生产中一般采用多种材质的设备粉碎硫磺,接触材质不同,生产过程中硫磺粉的起电效果差异很大。本实验中是以工业生产中常用的不锈钢(SS)、碳化钨(WC)、氧化锆(ZrO)3种材质作为研磨材质,控制研磨转速为1500r/min,研磨时间为100s,分别测试片状硫磺和粉状硫磺的荷电特性,结果如图7所示。
	
	

		从图中可以看出,不同研磨材质对硫磺荷质比影响显著,其中碳化钨材质研磨后的硫磺荷质比小,不锈钢材质次之,氧化锆材质大;采用不锈钢、碳化钨和氧化锆材质研磨2种硫磺,片状硫磺的荷质比分别为-15.127、-20.549、-44.310nC/g,粉状硫磺的荷质比分别为:-18.904、-26.343、-72.272nC/g。本文中引入有效功函数的概念对该现象进行解释。功函数表示两物体接触带电时,物体逸出电子的能力,即一个电子逸出物体所要求外界做的功。为了简化硫磺研磨的起电特性,选择绝缘体和金属碰撞摩擦发生电荷转移的模型[12],转移的电荷量为

	式中:e为元电荷,为1.6×10-19C;C0为临界距离下物体1和物体2之间的电容,C0的大小则主要取决于绝缘体的性质;Φ1是绝缘体的有效功函数;Φ2为金属的功函数。
	从上式中可以看出,若Φ1>Φ2,则物体1带负电,若Φ1<Φ2,则物体1带正电,而且两者功函数差异越大,转移的电荷也越多,物体的荷电量就越大。研磨实验结果发现硫磺经3种材料研磨之后带负电荷,所以硫磺的功函数比研磨材料的大。采用碳化钨材质研磨后的硫磺荷质比小,不锈钢材质次之,氧化锆材质大,所以3种材质的功函数大小为:碳化钨>不锈钢>氧化锆。
	根据有效功函数来确定两种材料接触后的带电情况,一些学者通过有效功函数确定了一些常见材料的静电序列,如表2所示。静电序列表说明两种材料接触摩擦,位列表格上部的材料带正电,下部材料带负电,且2种接触材料在表中位置越接近,产生的静电量就越小。根据静电序列,可以推测,金属材质与硫磺粉接触摩擦时,金属带正电,硫磺粉带负电,采用不同接触材质时硫磺粉所带静电量的大小为:Q镍<Q铜<Q铁<Q铝<Q锌。同样地,为了减小硫磺粉荷质比,也可以对接触材质进行涂层处理,涂层材料选择与硫磺静电序列位置越相近,理论上产生的荷质比就越小。
	
	
		2.3湿基含水量对饱和静电量的影响
	
		物料含水量对颗粒静电产生有显著的影响,本实验中采用湿基含水量表征硫磺的含水量。本实验采用不锈钢研磨材质,控制研磨转速为1500r/min,研磨时间为100s,测试了粉状硫磺的荷电特性,结果如图8所示。对图8的数据进行指数拟合,拟合结果显示硫磺粉的湿基含水量与饱和静电量的关系与指数函数具有较好的逼近效果。拟合公式为:Q=Q0expR0ω。式中:Q为硫磺粉的饱和静电量,nC/g;Q0和R0为常数;ω为硫磺粉的湿基含水量,%;Q0为干燥硫磺粉的饱和静电量,为-26.56nC/g,R0=-6.157。
	
		图8表明,硫磺粉饱和静电量随湿基含水量的增加而减小,终趋于0。湿基含水量从0增至0.2%,饱和静电量由-26.56nC/g迅速降至-4.564nC/g;随后继续增加湿基含水量至0.8%,饱和静电量几乎降为0,趋势趋于平稳。这个结果与一些学者研究空气湿度对粉体荷质比的实验结果有相同的趋势[11,13-15],湿基含水量与空气湿度在改变粉体荷质比的本质上是相似的,由于硫磺本身是疏水物质,增加湿基含水量,硫磺颗粒表面会形成一个水膜,水膜中含有杂质和溶解物,能够使静电载体表面电阻迅速降,加速静电荷的逸散和泄漏。
		
		

			结论
		
			1)对2种不同粒径的硫磺进行研磨,硫磺粉的荷质比均随研磨时间的增加而,终会趋于稳定,达到饱和静电;随着研磨转速的,硫磺静电量达到饱和值的时间减小,荷质比速率加快;颗粒越细的硫磺,饱和静电量越大,静电量到达饱和值的时间越短,荷质比速率越快。
			
	
				2)不同的接触材质对硫磺粉饱和静电量的影响显著,其Q碳化钨<Q不锈钢<Q氧化锆,采用氧化锆研磨罐研磨的硫磺粉的饱和静电量是采用碳化钨研磨罐的3.8倍,是不锈钢研磨罐的1.9倍。可以推测,采用与硫磺静电序列相近的金属材质破碎硫磺时可以有效减少静电量,同样地,在金属表面喷涂与硫磺静电序列相近的复合材料也能达到减少静电量的目的。
			
				3)增加湿基含水量可以有效减少硫磺粉的静电量。当湿基含水量从0增加到0.2%时,硫磺粉静电量可减少82.8%;在硫磺研磨破碎过程中,硫磺粉湿基含水量与静电量的关系满足公式:Q=Q0expR0ω。
		
